会议倒计时 9 天
2025 第二届全球再生金属产业高峰论坛
开幕在即
2025.06.12-13 诚挚邀您相约
泰国·曼谷·素万那普机场凯悦酒店

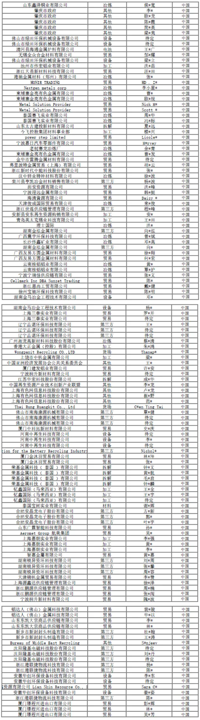
期待已久,最新进程函已出炉,让我们一起来看一下行业内哪些大佬将一同前往这场全球绿色发展盛宴!
最新进程企业名单



持续更新中...
如需完整名单,可联系小编获取

会议日程一览
6月12日 主议程
01
9:00-12:00
企业拜访
02
10:00-12:00
签到
03
10:00-12:00
自由洽谈
04
12:00-13:00
自助午餐
05
13:30-13:45
开幕致辞
发言嘉宾:
范昕 上海有色网信息科技股份有限公司 董事长
李士龙 中国再生资源产业技术创新联盟 会长
06
13:45-14:00
泰国再生金属产业的绿色转型与可持续发展前景
发言嘉宾:
Dr.Somthai Wongcharoen
ASEAN Institution of Recycling(AIR) 秘书长
07
14:00-14:20
加强国际交流 促进中国有色再生金属绿色新发展
发言嘉宾:
李士龙 中国再生资源产业技术创新联盟 会长
08
14:20-15:10
圆桌论坛:再生金属头部企业家访谈
1.基于泰国产业链发展的未来再生原料供应趋势
2.东南亚再生金属行业投资风险
3.地缘政治下再生金属行业的国际贸易流向和消费趋势
主持人:
李士龙 中国再生资源产业技术创新联盟 会长
发言嘉宾:
周向纯 大正大纪金属(泰国)有限公司 总经理
秦星红 P.C. WOOD PRODUCTS CO.,LTD. 董事长
张俊兵 海亮集团有限公司 全球采购总监
刘庆成 泰中有色金属国际有限公司 董事副总经理
09
15:10-15:25
茶歇
10
15:10-15:25
ESG背景推动下全球再生金属产业发展之路
发言嘉宾:
谢晓影 上海绿然环境信息技术有限公司可持续发展业务总监
11
15:40-16:00
全球再生金属产业供需格局变化
发言嘉宾:
崔索野 上海有色网信息科技股份有限公司 有色咨询总监
12
16:00-16:20
中东视角下的全球再生金属产业发展趋势与挑战
发言嘉宾:
Sanjeev Phadke 中东回收局 财务主管兼执行委员会成员
13
16:20-17:10
圆桌论坛:全球再生金属市场探讨:深入剖析印度、中东、欧洲与东南亚的优势与挑战
主持人:
范昕 上海有色网信息科技股份有限公司 董事长
发言嘉宾:
Kittipot Thanalertlap Metalcom Ltd. 总经理
Sanjeev Phadke 中东回收局 财务主管兼执行委员会成员
WENCESLAO MANZ DIMEXA HOLDINGS PTE. LTD. 总监
谭天 再生博士(Doctor Scrap) 总经理
14
18:30-20:00
颁奖晚宴-优质料场,诚信贸易商,优质设备企业颁奖
6月13日 分论坛
·电池论坛·
01
09:00-09:25
泰国电池回收产业的战略布局:面向未来五年电动汽车产业的发展蓝图
发言嘉宾:
杜思迪 泰国工业部 主席顾问
02
09:25-10:15
圆桌论坛:东南亚电池资源市场:供应链动态
主持人:
崔索野 上海有色网信息科技股份有限公司 有色咨询总监
发言嘉宾:
陈文凯 马来西亚有色金属协会 主席
Sujin Kim BatX Energies 全球业务发展主管
赵斌 泰中罗勇工业园 总裁
吴小云 日本高兴实业会社 董事长
沈娟 京九集团 采购总监
03
10:15-10:40
东南亚废铅酸蓄电池市场现状及变革之路
发言嘉宾:
吴小云 日本高兴实业会社 董事长
04
10:40-11:00
茶歇
05
12:00-13:00
东南亚电动车的市场增速带来的电池回收体系的完善
发言嘉宾:
罗铁英 金池工业园 总裁
06
11:25-11:50
探索非洲:可持续扩张与原材料投资机遇
发言嘉宾:
Yousef Al Sharif Sharif Metals Group 经理
07
12:00-13:30
自助午餐
·铜铝论坛·
01
14:00-14:20
北美视角下的全球再生铜铝供应与需求新动态
发言嘉宾:
Robin Wiener Recycled Materials Association 主席
02
14:20-14:40
SMM服务全球再生铜铝金属市场
发言嘉宾:
张晓瑶上海有色网信息科技股份有限公司再生会项目负责人
03
14:40-15:00
从印度视角出发看全球再生金属供需格局发展
发言嘉宾:
Amar Singh 印度回收局 秘书长
04
15:00-15:20
共筑柬中金属新枢纽——邀您共建海外再生有色金属加工示范产业园
发言嘉宾:
曹卓 柬中金属材料产业园 美洲区国际业务总经理
05
15:00-15:20
茶歇
06
15:20-16:20
圆桌论坛:再生铜铝货场:创新回收分拣技术助力产业绿色降碳之路
主持人:
周柏 执行副总裁 上海有色网信息科技股份有限公司
发言嘉宾:
梁嘉立 佛山市绿田环保机械设备有限公司 副总经理
李志强 河南中再生科技有限公司 总经理
叶航宇 合肥安晶龙电子股份有限公司 外贸部总监












