当前,铝行业正处于深度变革与快速发展的关键时期。从产业动态来看,全球范围内,铝产业正积极响应绿色发展号召,加速向清洁生产转型。从产业现状来看,中国在全球铝供应链中占据主导地位。但中国铝土矿进口依存度对外依存度较高。
在这样的背景下,美国的关税政策给全球铝行业带来了巨大冲击。面对美国关税带来的挑战,中国铝企积极寻求应对之策。一方面,加速布局高端铝材领域,加大研发投入,推动产品向高附加值方向转变,如航空板、动力电池箔等产品的出口逐渐增加 。另一方面,大力发展再生铝产业,再生铝能耗仅为原铝的 5%,符合绿色发展需求。部分企业通过转口贸易的方式,利用马来西亚、泰国等第三国中转,以此降低关税成本。还有企业积极申请绿色认证,通过数字化碳管理体系,降低出口成本,布局西南水电铝基地,提升绿电使用比例,以此满足国际市场对绿色铝产品的需求。
4月16-18日,由上海有色网信息科技股份有限公司(SMM)主办,中亿丰金益科技(苏州)科技有限公司、乐至县乾润招商服务有限公司协办,上栗县科源冶金材料有限公司、广东齐力澳美高新材料股份有限公司、大正金屬(控股)有限公司、金桥轻合金科技(江门)有限公司等单位为论坛冠名,索通发展股份有限公司、上海嘉朗实业有限公司为论坛协办,以及各特邀支持单位、大会支持单位、大会呜谢单位和各媒体单位支持的AICE 2025 SMM(第二十届)铝业大会暨铝产业博览会在江苏·苏州国际博览中心 E3-F3馆隆重召开!
本次峰会将围绕全球铝市场的发展趋势、铝价走势预测、供给平衡与需求状况、商机对接与技术交流等热点议题展开深入探讨和交流。同时,探讨如何推动铝业产业向更加清洁、高效、可持续的方向发展,共同应对全球气候变化和环境挑战!
本次会议包括氧化铝及电解铝原料论坛、铝熔铸技术论坛、铝压铸产业发展论坛、供需交流-海内外废铝供需发言论坛、铝板带箔行业发展论坛、主论坛、铝产业链可持续发展论坛、全球再生铝产业发展论坛、工业铝挤压材论坛等9个论坛,本次大会包括嘉宾发言、SMM价格研讨会、圆桌论坛、大会晚宴&颁奖典礼等多个精彩环节!
本文是铝熔铸技术论坛、铝压铸产业发展论坛等的文字直播,此外,SMM也将对其进行图片、视频直播,敬请刷新查看~
4月16日
嘉宾发言
铝熔铸技术论坛
发言主题: 超大规格2024铝合金扁铸锭开裂行为研究
发言嘉宾:中铝集团、先进铝合金协同创新联盟首席专家、秘书长 王国军

基于数值模拟的2024大扁锭工艺优化
(一)背景
►2024合金在航空航天的应用:高强韧2xxx铝合金具有比重小、强度高、断裂韧性好及耐蚀等优点,广泛应用于航空航天领域。其中第一代AA2024铝合金由于其优异的损伤容限和在时效条件下的高抗疲劳裂纹扩展能力,仍然是一种商用飞机运输机重要的材料,主要用于机身、机翼的轻质部件。
► 变形铝合金第一道工序是直冷半连续铸造(Direct-Chilling casting)
► 随着我国航空航天大型结构件的尺寸增大,铝合金铸锭也朝着超厚超宽的方向发展。
► 由于2024铝合金凝固区间大,且开裂倾向性高,铸锭尺寸的增加会导致铸锭出现更严重的开裂现象。
(二)模型建立
► (1)基本假设:在保证模型计算精度的前提下,兼顾计算效率,本模型的主要假设如下:
► 本模型忽略铸造过程中液面细微波动对DC铸造凝固过程的影响,将结晶器液面简化为壁面。
► 忽略结晶器液面辐射传热。
► 忽略溶质偏析对铝合金熔体固相线和液相线的影响,固相线和液相线取定值。
► 简化一冷和二冷区的传热过程,用综合换热系数描述铸坯表面的传热。
► 不考虑铸锭变形对熔体流动的直接影响
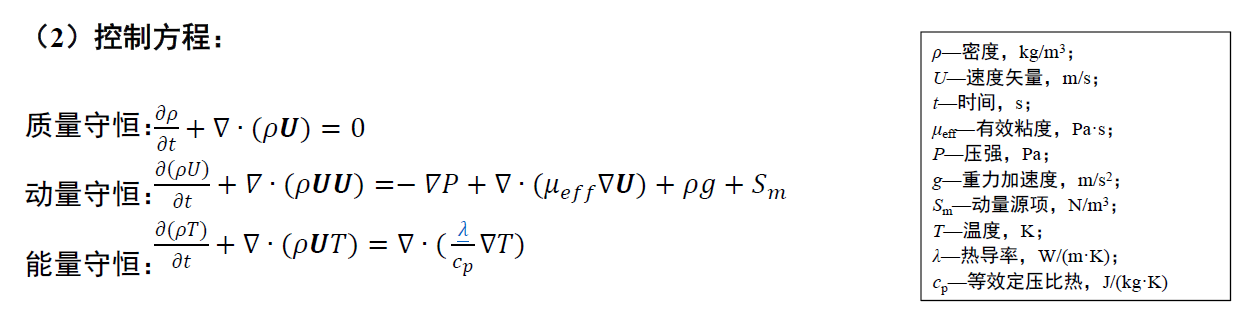
►(2)控制方程:

其还对(3)材料模型(采用JMatPro-14.3软件计算获得,凝固模型采用Scheil非平衡凝固模型)和(4)边界条件进行了阐述。
(二)模型建立:通过中铝数字化模型参数化建模,实现一键式数值模拟计算,大幅减少了建模时间,提高工作效率
(三)开裂原因分析
应力方向与裂纹方向关系:沿着最大主应力方向开裂。开裂最主要原因:铸造过程热应力过大。优化方向:降低热应力。

铸造速度的影响
从不同铸造速度下温度场分布可以看出:由于在结晶器下沿施加了刮水器,铸锭表面会出现温度回升现象,随着铸造速度的增加,铸锭表面的温度回升越高,铸造速度的增加呈线性增加趋势。
从不同铸造速度下应力场分布可以看到:随着铸造速度的增加,铸锭应力呈下降的趋势增加铸造速度能降低铸锭内部的开裂倾向。铸锭规格越大,铸锭应力随铸造速度变化越缓慢。
发言主题:熔铸小常识
发言嘉宾:上栗县科源冶金材料有限公司总经理 李磊

发言主题:再生铝行业熔铸技术发展思考
发言嘉宾:南昌大学教授 张柏林

发言主题:铝及铝合金半连续(深井)铸造熔融铝遇水爆炸事故的成因与防范
发言嘉宾:苏州市应急管理局高级工程师、驻班专家 周应泉

》铝及铝合金半连续(深井)铸造熔融 铝遇水爆炸成因与防范【SMM铝业大会】
发言主题:铝产业高效除尘节能系统的研究与应用
发言嘉宾:浙江蓝威环保科技设备有限公司

一、产业背景
随着全球环保法规的严格及环保意识的提升,传统熔铝炉配套的除尘环保设备依然存在问题并面临挑战。
存在问题:高能耗与低效运作、设备调节不灵活、状态监测不及时、设备维护成本高。
二、研发团队
浙江蓝威环保科技设备有限公司联合浙大城市学院、杭州电子科技大学等知名高校的科技创新团队,围绕熔铝炉除尘设备的智能化高效节能作业,开展了高效节能除尘节能系统的研究与应用攻关,取得了不错的应用效果。
三、研究内容

四、技术方案
1. 总体方案

发言主题:铝熔铸中金属液精炼处理常见问题及解决方案
发言嘉宾:维苏威铸造科技(江苏)有限公司中国区产品线负责人-有色金属液处理 薛跃腾

发言主题:铝加工安全隐患及双重预防机制
发言嘉宾:中国有色金属智库认证专家、安徽广晟美臣新材料科技有限公司总工、高级工程师 应志强

3、双重预防的详细解释
双重预防是指安全风险分级管控和隐患排查治理双重预防机制。
这一机制是企业安全管理的基础和重要保障,以下是关于双重预防的详细解释:
1、安全风险分级管控
安全风险分级管控是双重预防机制的第一道防线,其主要内容包括:
a、风险辨识:辨识风险点存在的危险物质及能量,以及这些危险物质及能量在何种情况下可能引发事故。
b、风险评价分级:运用风险评价准则对辨识出的风险进行评价,并根据评价结果将风险划分为不同的等级,如极高安全风险、高度安全风险、较高安全风险、一般安全风险(通常对应红、橙、黄、蓝四色标示)。
C、风险管控:由不同层级的人员对划分等级的风险进行管控,确保风险点的安全管控措施完好有效。
2、隐患排查治理
隐患排查治理是双重预防机制的第二道防线,其主要内容包括:
a、隐患排查:对风险点的管控措施进行全面排查,及时发现潜在的隐患。
b、隐患治理:对排查出的隐患进行及时治理,确保隐患不会演变成事故。隐患治理需要做到“五落实”,即责任、措施、资金、时限和预案的落实。
3、双重预防机制的目的和意义
构建双重预防机制的目的在于针对安全生产领域的突出问题,强调安全生产的关口前移,从隐患排查治理前移到安全风险管控。这一机制有助于企业全面落实安全生产主体责任,提高事故和灾害防范的有效性,减轻事故和灾害的损失,从而促进社会稳定和经济发展。此外,双重预防机制还强调要严把两道关口:一是风险管控关,坚持重大风险重点管控;二是隐患治理关,坚持重大隐患限期治理。通过双重预防的工作机制,切实把每一类风险都控制在可接受范围内,把每一个隐患都治理在形成之初,把每一起事故都消灭在萌芽状态。
综上所述,双重预防机制是企业安全管理的重要组成部分,它强调从风险辨识入手,以风险管控为手段,把风险控制在隐患形成之前,并通过隐患排查治理,确保企业的安全生产。
4、铝加工隐患主要例点
1、抓住重点领域安全防范。突出对熔炼炉、深井铸造,粉尘涉爆,有限空间作业等高风险作业安全监管,深刻剖析辖区,靶向发力,攻坚克难,坚决防范遏制较大及以上事故发生。督促企业根据自身特点,认真研究制定符合实际的安全基础管理硬措施,并严格落实,努力减少零星事故。
发言主题:不同类型再生铝双室炉炉衬技术挑战与解决方案-推动行业绿色高效发展
发言嘉宾:江苏瑞复达高温新材料股份有限公司 董事长、企业研究院院长 宋学斌

发言主题:铝加工短流程工艺的创新与应用
发言嘉宾:中色科技股份有限公司工艺室主任工程师 何向问

01 铝加工短流程工艺概述
1.1 铝加工短流程工艺概述
短流程工艺的定义:短流程工艺是指从铝液直接生产出所需产品的工艺,省略了传统工艺中的一些中间环节,如将铝液直接铸轧成薄板,减少了能耗与生产时间。工艺具有流程短、能耗低、生产效率高等特点,符合现代铝加工行业对高效、节能、环保的要求。
短流程工艺的优势:能耗降低:传统铝加工工艺中,铝液需要经过多次冷却和再加热,能耗较高。短流程工艺减少了这些环节,直接从铝液生产出产品,显著降低了能耗。生产效率提升:省略了中间环节,缩短了生产周期,提高了生产效率,能够更快地响应市场需求。
短流程工艺的应用现状:目前,短流程工艺在铝加工行业中的应用逐渐增加,特别是在生产一些薄板、带材等产品方面,具有明显的优势。例如,一些企业采用短流程工艺生产汽车用铝板,箔材和通用1系,3系和8系铝板,不仅提高了生产效率,还降低了成本。
本次讨论的短流程工艺主要集中在板带材的生产,因为其生产工艺在铝加工生产中一般是流程最长、耗能最高且投资最大的。

1.1 铝加工主要的短流程工艺
双辊铸轧工艺、Micromill连铸连轧工艺、Hazelett连铸连轧工艺
1.2 短流程工艺的主要设备

02 双辊铸轧工艺的创新与发展
2.1 典型铸轧生产线
双辊铸轧机:双辊凝固铝液为铸轧带材,一般常见铸轧带材厚度为5-12mm(快速铸轧带材厚度为3-8mm),常见合金系列为1XXX,3XXX,8XXX和部分5XXX。
2.1 铸轧生产线的主要配置

备注:以上配置略去了配套的辅助设施如电磁搅拌装置、在线处理装置、除尘、炉侧除气装置等。
2.2 铸轧生产线的主要布置方式
相邻铸轧机镜像布置:优点:相邻两条铸轧线可以一班人兼顾,减少人员数量。
相邻铸轧机同方向布置:优点:铸轧机设备部件可以通用,减少备件数量。
2.3 熔铝炉/保温炉分类

2.4 铸轧工艺的创新技术
►铸轧辊技术的创新:新型铸轧辊材料和表面处理技术的应用,提高了铸轧辊的使用寿命和铸轧卷的质量。例如,采用纳米复合材料或铜辊套制造的铸轧辊,具有更高的导热性和耐磨性。
►铸轧工艺控制技术的创新:自动化控制系统在铸轧工艺中的应用,实现了对铸轧过程的精确控制。通过传感器和计算机技术,实时监测铝液温度、成分、铸轧辊速度等参数,并自动调整,确保铸轧卷的质量稳定。
►铝液净化技术的创新:先进的铝液净化技术,如电磁搅拌、超声、精细过滤等,有效去除铝液中的杂质和气体,提高铸轧卷的纯净度,同时改变铸轧的晶粒度。这些技术的应用,使铸轧卷的机械性能和表面质量得到显著提升。
发言主题:3003合金熔铸以及均质过程中生产实践
发言嘉宾:陕西鑫材鼎速科技有限公司总工程师 路建军

》3003合金熔铸以及均质过程中生产实践探索【SMM铝业大会】
铝压铸产业发展论坛
发言主题:产学研合作下的一体化压铸工艺探究
发言嘉宾:山东宏灿材料科技有限公司项目总监 韩建堂

一、背景
1.1汽车销量及出口数量

市场趋势:汽车市场呈现快速增长趋势;汽车成本降低及价格内卷 ;中国汽车品牌快速崛起,打破了国外汽车品牌垄断。
1.2汽车发布数据
汽车行业已进入快速发展、快速更新时代,2024年推出的610款新车动力类型占比及数量如下:纯电:226款,占比37%;燃油:204款,占比34%;插混:110款占比18%;增程:39款,占比6%;混动:31款,占比5%。
1.3乘用车开发趋势及需求
功能化⇒舒适化&轻量化⇒电动化&智能化&集成化⇒个性化与定制化⇒开发短周期需求。
1.3乘用车开发周期需求
在过去合资车企的新车迭代速度都是很慢的,比如BBA通常是4年一次中期改款,8年一次大换代,对应的研发周期差不多54个月
新车研发流程分为方案、设计/验证、投产三个主要阶段,借助于平台化;其中方案阶段耗时9.5个月、设计/验证14个月、投产10.5个月,最后加上2个月的上市阶段,一共就是36个月。
敏捷研发理念,整车开发进入了模块化、数字化时代;将整车的开发周期进一步缩短。
二、新模式下的技术创新
2.1 新模式下产业思路


》技术分享:产学研模式下一体化铸造技术创新【SMM铝业大会】
发言主题:铝合金一体化压铸和镁半固态压铸互补及应用
发言嘉宾:宁波保税区海天智胜金属成型设备有限公司高级应用专家 周连君

圆桌访谈:从供应链角度聊一体化压铸合作新模式
主持人:苏州市压铸技术协会执行会长 张山根
访谈嘉宾:蔚来汽车金属材料专家 刘华初
帅翼驰新材料集团有限公司技术副总裁 张跃波
北京适创科技有限公司产品及项目总监 薛鹏基

发言主题:中国新能源汽车和传统燃油车未来十年发展及用铝趋势
发言嘉宾:中国汽车流通协会汽车市场研究分会秘书长 崔东树

发言主题:新能源汽车电驱动壳体压铸工艺难点及解决方案
发言嘉宾:舍弗勒(上海)贸易有限公司轻量化工艺经理/高级工程师 彭亮

圆桌访谈:镁压铸与铝压铸的替换之路
主持人:国汽轻量化(江苏)汽车技术有限公司总工程师 韩志勇
访谈嘉宾:苏州市压铸技术协会执行会长 张山根
宝武镁业科技股份有限公司博士、主任研究员 朱向镇
宁波天正模具有限公司董事长 张小岩

发言主题:低压铸造与高压压铸工艺的对比及优劣
发言嘉宾:伊顿(中国)投资有限公司伊顿全球铝合金铸造专家、特聘专家/理事、压铸高级工程师资格认证培训讲师 朱文平

工艺原理区别
低压铸造
压力范围:0.01~0.1 MPa(较低压力)。
原理:利用压缩空气将熔融金属从密封的保温炉中通过升液管缓慢压入模具,金属在低压下自上而下填充型腔,并在压力下结晶凝固。
特点:充型平稳,金属液流动性好,气孔和夹渣少。
高压铸造(压铸)
压力范围:10~200 MPa(极高压力)。
原理:金属液在高压(由压射缸提供)下高速射入钢制模具,迅速充型并在高压下凝固。
特点:充型速度快(毫秒级),适合复杂薄壁件,但易卷入气体。
低压铸造和高压铸造是两种常见的金属铸造工艺,主要应用于铝合金、镁合金等非铁金属的成型。它们在原理、应用场景和产品特性上有显著区别。
工艺特点对比

低压铸造
优点:铸件致密性好,力学性能高,气孔缺陷少,可生产较大件。
缺点:节拍长,模具成本较高,不适合超薄壁件。生产成本较高,壁厚必须>3.5mm,最佳4个mm以上。
高压铸造
优点:生产效率高(每分钟可生产多件),适合复杂薄壁件,表面精度高。尺寸精度高,机加工切削余量小。
缺点:铸件内部易有气孔,通常不可热处理(气孔会膨胀),模具成本极高。壁厚大于2mm即可。
低压铸造能够设计任意直径闭口梁

大会签到交流

















